qy千亿球友会罗丁副教授在能源领域顶级期刊《Energy》上发表了题为《Parametric study of a thermoelectric-based battery thermal management system with vapor chambers for high discharge rate》的研究论文。罗丁副教授为第一作者,陈昊教授为通讯作者,qy千亿球友会为第一署名单位和通讯单位。
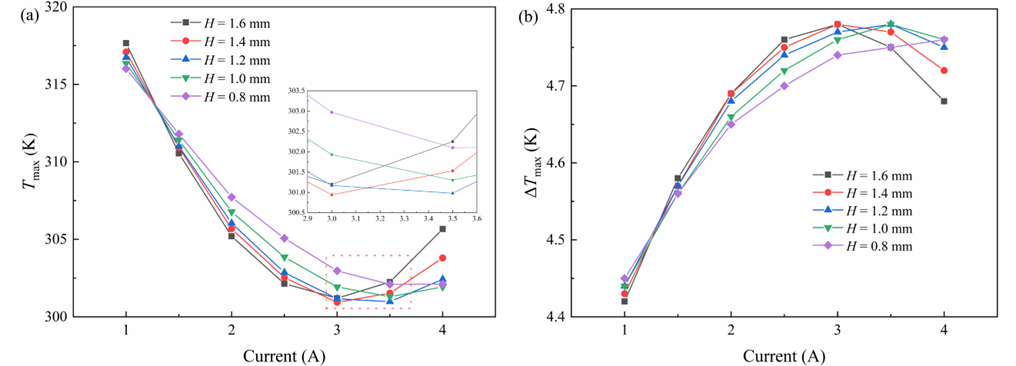
此项研究针对高放电率(5 C)工况下锂离子电池存在的剧烈温升和温度分布不均问题,创新性地提出了一种将热电冷却器(TEC)与均热板集成的混合式电池热管理系统。通过构建电-热耦合数值模型,系统分析了热电腿高度、TEC输入电流及空气对流系数等关键参数对热管理性能的影响。结果表明,适当降低热电腿高度、优化输入电流以及提高空气对流系数均能有效增强冷却效果。具体而言:较小的热电腿高度有助于提升冷却功率,但过低可能限制TEC的温差承受能力;增加输入电流可提升冷却性能,但过高则因焦耳热引发性能下降;提高空气对流系数可强化散热,但在超过50 W/(m²·K)后效果趋于饱和,且能耗显著增加。综合考虑冷却性能与能效,研究确定最优系统参数为:热电腿高度1.4 mm、输入电流3 A、空气对流系数50 W/(m²·K)。在该配置下,电池最高温度控制在300.94 K以内,温差不超过4.78 K。本研究为热电冷却技术在高倍率锂离子电池热管理中的应用提供了理论依据与工程参考。

新型电池热管理系统的几何结构示意图

不同TEC热电腿高度和输入电流对电池最大温度和温差的影响
期刊介绍:《Energy》是能源领域的顶级期刊,影响因子9.4,中科院大类一区TOP期刊,内容主要涵盖能源、热科学以及机械工程等领域中具有突破性和多学科交叉性的应用技术研究成果。
论文信息:Luo D, Wu Z, Wu H, Chen H, Zhang P, Cao B. Parametric study of a thermoelectric-based battery thermal management system with vapor chambers for high discharge rate. Energy. 2025;333:137416.
论文链接:https://doi.org/10.1016/j.energy.2025.137416
(供图供稿:罗丁 审核:耿莉敏 倪凤英 编辑:韩啸)